Explore, connect, thrive in
the expat community

Expat Life: Local Discoveries, Global Connections

Real Estate News Value of m2 in CABA - Reporte Inmobiliario

BuySellBA

Administrator

Value of m2 in CABA - Reporte Inmobiliario



rs=w:1280



Source:






May 3, 2024

Value of m2 in CABA​



rs=w:1280


In the year-on-year comparison, the values no longer show significant declines. Values by neighborhood for apartments from 1 to 4 rooms in April 2024
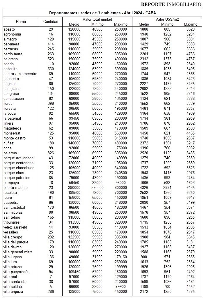
Last April Real Estate Report integrated into its database the information of a total of 22,692 reliable data on used apartments offered for sale in the city of Buenos Aires with between one and four rooms.

The monthly evolution showed increases in the average price of one, two and three-room units and only a slight reduction in the value per m2 of four-room units.

In relation to April 2023, the average value per m2 of the fourth month of the current year was higher in the one-room units, remaining practically stable in the two- and three-room units since they only showed reductions of 0.33% and 0.12% respectively. Only the largest units showed a greater drop, which, however, is not significant either since it stood at -1.6% year-on-year.

In April 2024, the smallest units are those with the highest value per unit of measurement (U$S/m2), this price being reduced as the number of rooms grows. Thus, the m2 of a studio apartment was located at U$$/m2 2,106 while the units with one, two and three bedrooms respectively quoted an average of U$S 1,835, U$S 1,719 and U$S 1,628 per m2.

In the city of Buenos Aires, the average offer value of a used studio apartment was US$69,000 last April. At the upper end, in terms of housing prices and comforts, a four-room apartment cost an average of US$ 139,900; while US$77,700 and US$109,725 were the average prices for one- and two-bedroom apartments.

The average, minimum and maximum value, both of a unit and of the m2, can be seen in the tables below along with the number of cases recorded as reliable, in terms of the consistency of their information, for statistical purposes.


rs=w:1280




rs=w:1280




rs=w:1280




rs=w:1280




rs=w:1280



rs=w:1280




rs=w:1280




www.buysellba.com
 
Back
Top